반응형
너비 우선 탐색(Breadth First Search)
- Vertex 들을 각각 다 한번씩 방문하는데, 넓고 얕게 탐색해 나간다
- Queue 가 사용된다.
- 최단 거리 찾기에 사용할 수 있지만, 간선들의 가중치가 모두 동일할 때만 쓰인다(미로)
알고리즘 순서
- Queue에 맨처음 시작 vertex를 넣기
- 시작 vertex를 방문 처리 해주기
- Queue 에서 pop(가장 먼저 들어간 vertex) 꺼내기
- 꺼낸 vertex 에 연결된 vertex 중 방문하지 않은 vertex 들을 방문 처리하고 차례대로 방문 처리한 vertex 들을 queue에 삽입
- 모두 방문할때 까지 3번, 4번 과정 반복

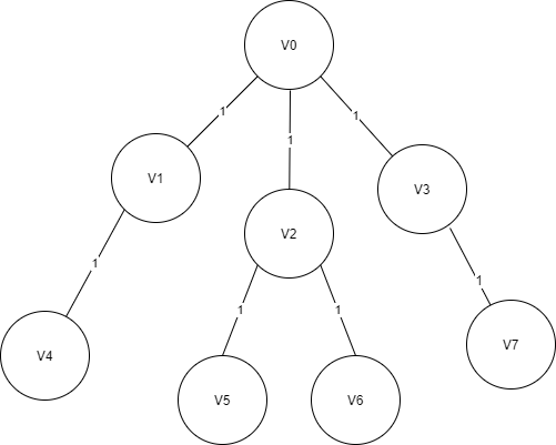
위 그래프의 인접행렬을 이차원배열로 표현한뒤, BFS또한 구현하여 실행해봤다.
코드
/*
이차원 배열로 그래프의 인접행렬을 표현
배열의 세로축은 정점(vertex)
각각 정점에 대한 가로축 인덱스는 곧 정점 인덱스이며
실제로 들어가는 값은 0 또는 1 이 들어가며
인접관계에 있어서 true or false를 뜻한다
ex) adj[1][2] //V1 정점과 V2정점과의 인접관계
*/
constexpr int VERTEX_COUNT = 8;
constexpr int adj[VERTEX_COUNT][VERTEX_COUNT] =
{
{0, 1, 1, 1, 0, 0, 0, 0}, //v0 : v1, v2, v3
{1, 0, 0, 0, 1, 0, 0, 0}, //v1 : v0, v4
{1, 0, 0, 0, 0, 1, 1, 0}, //v2 : v0, v5, v6
{1, 0, 0, 0, 0, 0, 0, 1}, //v3 : v0, v7
{0, 1, 0, 0, 0, 0, 0, 0}, //v4 : v1
{0, 0, 1, 0, 0, 0, 0, 0}, //v5 : v2
{0, 0, 1, 0, 0, 0, 0, 0}, //v6 : v2
{0, 0, 0, 1, 0, 0, 0, 0} //v7 : v3
};
//방문기록을 저장할 배열, 방문하면 true 처리
bool visited[VERTEX_COUNT];
void BFS(int _start)
{
std::queue<int> q; //queue 선언
q.push(_start); //맨처음 시작 vertex 를 넣기
visited[_start] = true; //시작 vertex 방문 처리 해주기
printf("시작 %d 방문\n", _start);
//모든 vertex를 방문해서 더이상 queue에 넣을 vertex가 없어서
//queue가 비어있을 때까지 반복
while (!q.empty())
{
//queue에서 가장먼저 넣은 vertex 꺼내기
int y = q.front(); //queue 에서 front(가장 먼저 넣은 vertex) 값 복사
q.pop(); //복사 했으니 제거
for (int x = 0; x < VERTEX_COUNT; x++)
{
if (adj[y][x] == 0) //인접하지 않으면 skip
{
continue;
}
else //인접하다면
{
//방금꺼낸 vertex 와 인접한 vertex들을 하나씩 가져오기
if (!visited[x]) //방문했는지 체크, 안했다면
{
q.push(x); //queue에 삽입
visited[x] = true; //방문처리
printf("%d 방문\n", x);
}
}
}
}
}
int main()
{
BFS(0);
return 0;
}
실행결과

위 콘솔창 실행결과와 오른쪽 그래프를 보면, 화살표 순서대로 실행해 나갔다는것을 알 수 있으며
Breadth First Search(너비 우선 탐색) 알고리즘은 넓고 얕게 탐색해 나간다는 것을 알 수 있다.
반응형
'자료구조&알고리즘' 카테고리의 다른 글
| 다익스트라(Dijkstra) 알고리즘 _ 동작 과정 (0) | 2020.04.01 |
|---|---|
| 깊이 우선 탐색(Depth First Search) _ 재귀호출 (0) | 2020.03.29 |
| Graph(그래프) 기본 용어 정리 및 표현 (0) | 2020.03.24 |
| 빅 오 표기법(Big-O Notation) (0) | 2020.03.19 |
| Array vs LinkedList (0) | 2020.03.17 |